Цель исследования
Активное наблюдение (АН) применяется для отсрочки или предотвращения хирургического лечения или лучевой терапии при раке предстательной железы (РПЖ). Хотя риск смерти от РПЖ остаётся низким у пациентов, откладывающих лечение, ранее данные наблюдения ограничивались 15 годами. Поскольку многие мужчины живут дольше этого срока, изучение долгосрочных результатов имеет решающее значение.
Методы
В исследование GÖTEBORG-1 были включены 488 больных РПЖ, выявленного при скрининге, которые находились под активным наблюдением. Среди них: 251 — с очень низким риском, 129 — с низким риском и 108 — с промежуточным риском. Уровень простат-специфического антигена (ПСА) измеряли каждые 6–12 месяцев; повторные биопсии выполнялись при признаках клинического прогрессирования. Лечение назначалось при выявлении признаков прогрессирования заболевания (по уровню ПСА, степени или стадии).
Для оценки выживаемости без лечения, без прогрессирования и опухоле-специфической выживаемости, использовали анализ Каплана–Майера, измеряя время от постановки диагноза до события или до последнего наблюдения.
Для оценки выживаемости без лечения, без прогрессирования и опухоле-специфической выживаемости, использовали анализ Каплана–Майера, измеряя время от постановки диагноза до события или до последнего наблюдения.
Основные выводы и ограничения
В течение медианного периода наблюдения 18 лет в общей сложности 232 мужчины прекратили АН, у 81 произошла неудача лечения, и 14 умерли от РПЖ.
Ограничением исследования было отсутствие предопределенного протокола АН.
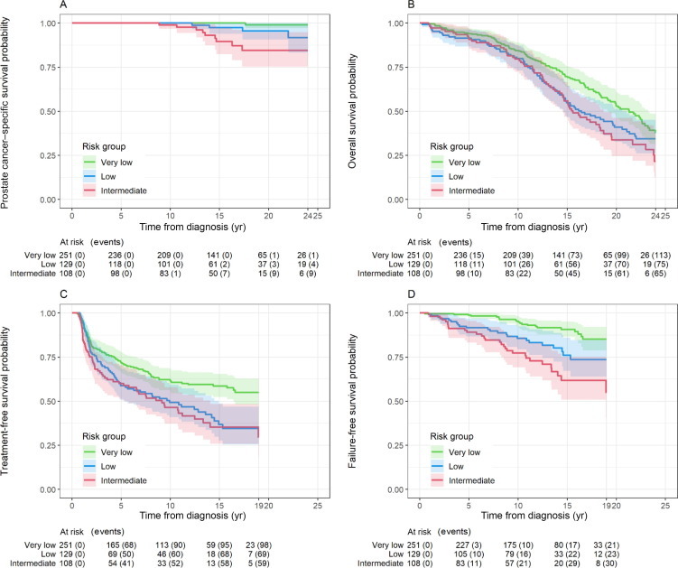
- Выживаемость без лечения через 22 года для всей когорты составила 38%. Через 19 лет показатели выживаемости без лечения составили 55% для больных с очень низким риском, 35% — с низким риском и 30% — с промежуточным риском.
- Выживаемость без прогрессирования через 22 года для всех мужчин составила 68%. Через 19 лет эти показатели составили 85% для случаев очень низкого риска, 74% — низкого риска и 55% — промежуточного риска.
- Опухоле-специфическая выживаемость через 25 лет для всей когорты составила 94%. Через 24 года эти показатели составили 99% для больных с очень низким риском, 92% — с низким риском и 85% — с промежуточным риском.
- Общая выживаемость через 25 лет для всех мужчин составила 32%. Через 24 года показатели составили 38% для больных с очень низким риском, 34% — с низким риском и 22% — с промежуточным риском.
Ограничением исследования было отсутствие предопределенного протокола АН.
Кривые выживаемости по Каплану-Майеру больных раком предстательной железы, выявленном при скрининге, находившихся на активном наблюдении, стратифицированные по группам риска.
Неудача лечения была определена как некурабельный биохимический рецидив (повышение уровня ПСА), начало гормональной терапии, появление метастазов или смерть от рака простаты.
Время до смерти от рака простаты и общей выживаемости измерялось от даты постановки диагноза до наступления смерти или даты последнего наблюдения (эмиграция или 31 декабря 2023 г.).
Для выживаемости без лечения и выживаемости без прогрессирования время измерялось от даты постановки диагноза до даты наступления события, даты последнего клинического наблюдения или до 31 декабря 2023 г., если соответствующие данные наблюдения были доступны после этой даты.
PSA = простат-специфический антиген.
Неудача лечения была определена как некурабельный биохимический рецидив (повышение уровня ПСА), начало гормональной терапии, появление метастазов или смерть от рака простаты.
Время до смерти от рака простаты и общей выживаемости измерялось от даты постановки диагноза до наступления смерти или даты последнего наблюдения (эмиграция или 31 декабря 2023 г.).
Для выживаемости без лечения и выживаемости без прогрессирования время измерялось от даты постановки диагноза до даты наступления события, даты последнего клинического наблюдения или до 31 декабря 2023 г., если соответствующие данные наблюдения были доступны после этой даты.
PSA = простат-специфический антиген.
Кривые выживаемости по Каплану-Майеру больных раком предстательной железы, выявленном при скрининге.
Неудача лечения была определена как некурабельный биохимический рецидив (повышение ПСА), начало гормональной терапии, появление метастазов или смерть от рака простаты.
Время до смерти от рака простаты и общая выживаемость рассчитывались от даты постановки диагноза до наступления смерти или даты последнего наблюдения (эмиграция или 31 декабря 2023 года).
Для выживаемости без лечения и безрецидивной выживаемости время измерялось от даты постановки диагноза до даты наступления события, даты последнего клинического наблюдения или до 31 декабря 2023 года, если соответствующие данные наблюдения были доступны после этой даты.
PSA = простат-специфический антиген.
Неудача лечения была определена как некурабельный биохимический рецидив (повышение ПСА), начало гормональной терапии, появление метастазов или смерть от рака простаты.
Время до смерти от рака простаты и общая выживаемость рассчитывались от даты постановки диагноза до наступления смерти или даты последнего наблюдения (эмиграция или 31 декабря 2023 года).
Для выживаемости без лечения и безрецидивной выживаемости время измерялось от даты постановки диагноза до даты наступления события, даты последнего клинического наблюдения или до 31 декабря 2023 года, если соответствующие данные наблюдения были доступны после этой даты.
PSA = простат-специфический антиген.
Выводы и клинические последствия
Данное исследование подтверждает низкий риск смерти от рака предстательной железы при медианном периоде наблюдения 18 лет. Риск неудачи увеличивался с течением времени, что подчеркивает необходимость пожизненного наблюдения. Важно предоставить мужчинам информацию об этом риске.