ВВЕДЕНИЕ
С внедрением ПСМА-ПЭТ в диагностику и стадирование рака предстательной железы традиционные системы стратификации риска, основанные на стандартной визуализации, постепенно теряют актуальность. Возникает необходимость создания новых прогностических моделей, учитывающих данные молекулярной визуализации.
МЕТОДЫ И МАТЕРИАЛЫ
В международное ретроспективное исследование на основе регистра PROMISE включено 11 154 больных раком предстательной железы, прошедших ПСМА-ПЭТ в период с 2012 по 2024 год.
Пациенты были разделены на когорты разработки (n=7253) и валидации (n=3901).
На основе клинических данных и параметров ПСМА-ПЭТ разработаны номограммы PPP3 для прогнозирования общей выживаемости на 3, 5 и 7 лет с использованием регрессионных моделей Кокса. Также создана упрощённая таблица стратификации риска.
Пациенты были разделены на когорты разработки (n=7253) и валидации (n=3901).
На основе клинических данных и параметров ПСМА-ПЭТ разработаны номограммы PPP3 для прогнозирования общей выживаемости на 3, 5 и 7 лет с использованием регрессионных моделей Кокса. Также создана упрощённая таблица стратификации риска.
РЕЗУЛЬТАТЫ
В анализ включено 11 154 пациента, из которых 27,9% умерли на момент отсечки данных. Медиана наблюдения составила 4,9 года.
Все ключевые параметры ПСМА-ПЭТ (распространённость заболевания, локализация метастазов, опухолевая нагрузка и уровень экспрессии ПСМА) продемонстрировали статистически значимую связь с общей выживаемостью.
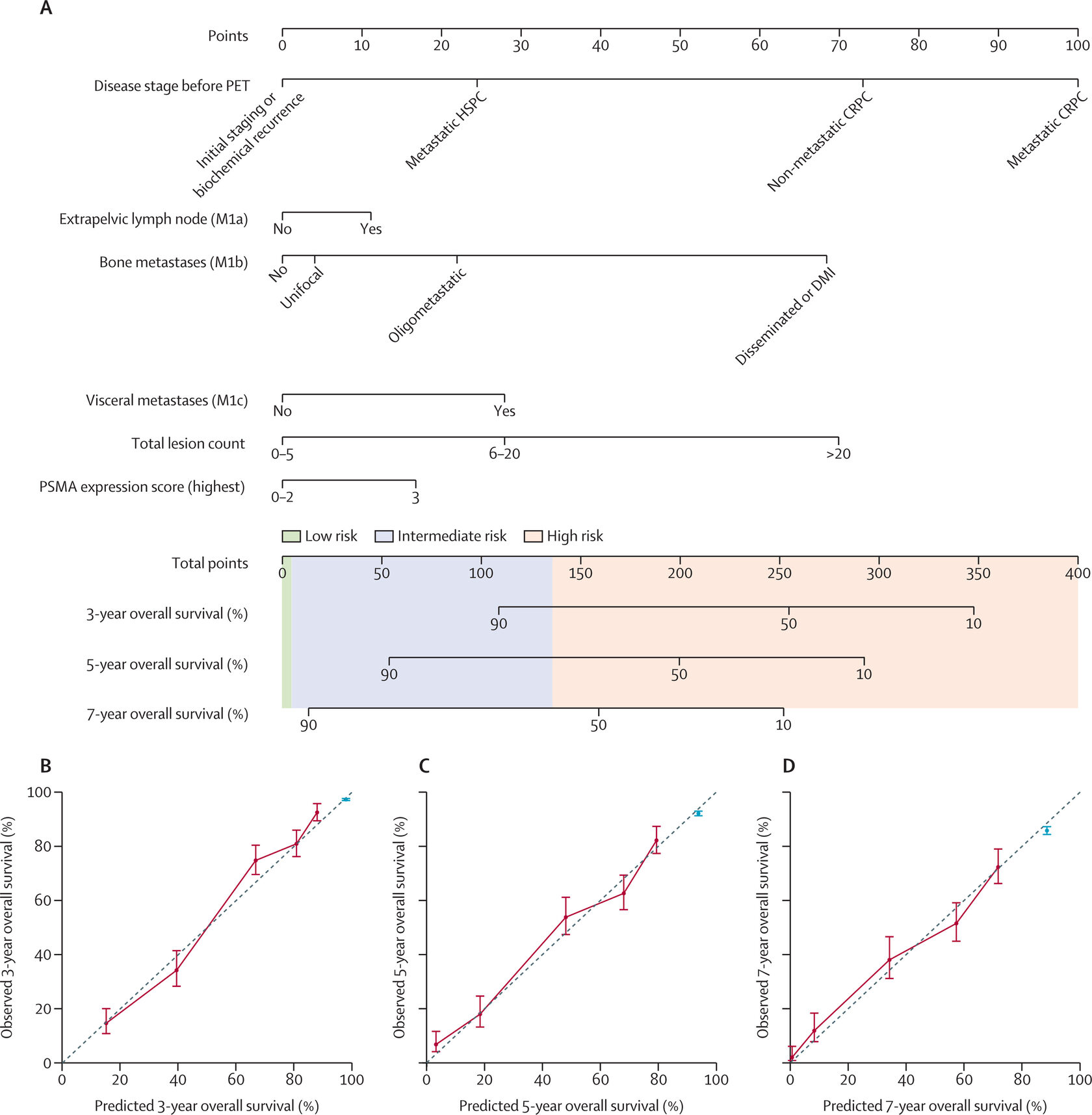
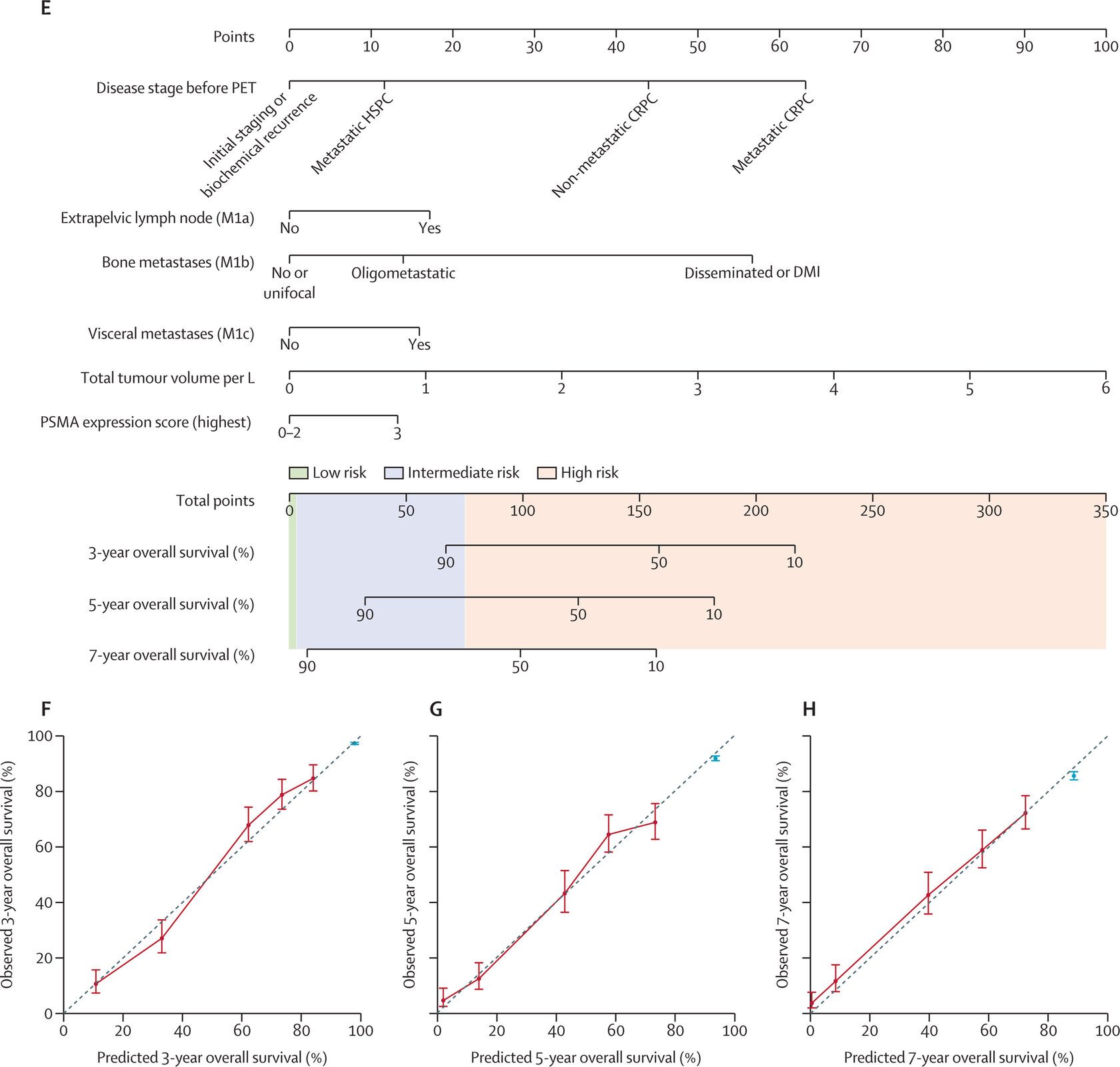
Разработанные номограммы PPP3 показали высокую прогностическую точность:
– c-индекс 0,83 для визуальной модели
– c-индекс 0,84 для количественной модели
Калибровка моделей продемонстрировала хорошее соответствие между прогнозируемой и фактической выживаемостью на 3, 5 и 7 лет.
На основании PPP3 пациенты были распределены на три группы риска (низкий, промежуточный, высокий), при этом различия в общей выживаемости между группами были статистически значимыми (p<0,0001) как в общей когорте, так и во всех клинических подгруппах.
При прямом сравнении с существующими системами стратификации риска:
– PPP3 превосходила шкалу EAU при биохимическом рецидиве
– превосходила номограмму Gafita при метастатическом гормоночувствительном раке
– превосходила NCCN при анализе всей популяции
– демонстрировала сопоставимую точность со STARCAP и Gafita в отдельных подгруппах
Упрощённая таблица риска показала сопоставимую точность с полной номограммой (AUC 0,78), при этом частота ошибочной классификации составила всего 3,9%.
В совокупности модель PPP3 обеспечила устойчивую и воспроизводимую стратификацию риска на основе данных ПСМА-ПЭТ во всех клинических сценариях.
Все ключевые параметры ПСМА-ПЭТ (распространённость заболевания, локализация метастазов, опухолевая нагрузка и уровень экспрессии ПСМА) продемонстрировали статистически значимую связь с общей выживаемостью.
Разработанные номограммы PPP3 показали высокую прогностическую точность:
– c-индекс 0,83 для визуальной модели
– c-индекс 0,84 для количественной модели
Калибровка моделей продемонстрировала хорошее соответствие между прогнозируемой и фактической выживаемостью на 3, 5 и 7 лет.
На основании PPP3 пациенты были распределены на три группы риска (низкий, промежуточный, высокий), при этом различия в общей выживаемости между группами были статистически значимыми (p<0,0001) как в общей когорте, так и во всех клинических подгруппах.
При прямом сравнении с существующими системами стратификации риска:
– PPP3 превосходила шкалу EAU при биохимическом рецидиве
– превосходила номограмму Gafita при метастатическом гормоночувствительном раке
– превосходила NCCN при анализе всей популяции
– демонстрировала сопоставимую точность со STARCAP и Gafita в отдельных подгруппах
Упрощённая таблица риска показала сопоставимую точность с полной номограммой (AUC 0,78), при этом частота ошибочной классификации составила всего 3,9%.
В совокупности модель PPP3 обеспечила устойчивую и воспроизводимую стратификацию риска на основе данных ПСМА-ПЭТ во всех клинических сценариях.
Номограммы PPP3 (A, E) для прогнозирования вероятности общей выживаемости через 3 года (B, F), 5 лет (C, G) и 7 лет (D, H)
Однофакторный регрессионный анализ показателей PROMISE и ПСМА-ПЭТ в связи с общей выживаемостью в когорте разработки
Визуальные показатели ПСМА-ПЭТ и метрики PROMISE для стратификации риска.
На основании данных ПСМА-ПЭТ баллы присваиваются за клиническую группу заболевания, параметры ПСМА-ПЭТ и метрики PROMISE. Сумма баллов определяет группу риска:
низкий риск — 0 баллов, промежуточный — 1–4 балла, высокий — ≥5 баллов.
CRPC — кастрационно-резистентный рак предстательной железы; HSPC — гормоночувствительный рак предстательной железы; PSMA — простат-специфический мембранный антиген; M1a — вне-тазовые лимфатические узлы; M1b — костные метастазы; M1c — висцеральные метастазы.
На основании данных ПСМА-ПЭТ баллы присваиваются за клиническую группу заболевания, параметры ПСМА-ПЭТ и метрики PROMISE. Сумма баллов определяет группу риска:
низкий риск — 0 баллов, промежуточный — 1–4 балла, высокий — ≥5 баллов.
CRPC — кастрационно-резистентный рак предстательной железы; HSPC — гормоночувствительный рак предстательной железы; PSMA — простат-специфический мембранный антиген; M1a — вне-тазовые лимфатические узлы; M1b — костные метастазы; M1c — висцеральные метастазы.
ЗАКЛЮЧЕНИЕ
Модель PPP3 на основе данных ПСМА-ПЭТ обеспечивает точную стратификацию риска и прогнозирование выживаемости у боьных раком предстательной железы на различных стадиях заболевания.
Полученные результаты подтверждают потенциал ПСМА-ПЭТ как независимого прогностического инструмента и создают основу для обновления клинических рекомендаций и дизайна будущих исследований.
Полученные результаты подтверждают потенциал ПСМА-ПЭТ как независимого прогностического инструмента и создают основу для обновления клинических рекомендаций и дизайна будущих исследований.