Разное

Эндоскопическая абляция тулиевым лазером в комбинации с диситамаб ведотином и иммунотерапией при уротелиальном раке верхних мочевых путей высокого риска

Цель исследования

Органосохраняющее лечение (ОСЛ) является перспективной альтернативой радикальной нефроуретерэктомии для отдельных больных уротелиальной карциномой верхних мочевыводящих путей, особенно при наличии абсолютных противопоказаний к радикальной операции. Цель авторов состояла в оценке эффективности и безопасности нового подхода к ОСЛ, сочетающего эндоскопическую тулиевую лазерную абляцию (ТЛА) с периоперационной системной терапией (диситамаб ведотин [ДВ] и ингибитор контрольных точек иммунитета [ИКТ]; торипалимаб или тислелизумаб) в тщательно отобранной когорте больных локализованным раком верхних мочевых путей высокого риска.

Методы

Это одноцентровое проспективное пилотное исследование проводилось с июня 2021 года по февраль 2024 года и включало больных локализованным раком верхних мочевых путей высокого риска с экспрессией HER2. Пациенты получали мультимодальное лечение, включающее последовательную индукционную терапию, эндоскопическую трансуретральную лазерную абляцию, консолидирующую и поддерживающую терапию. Первичными конечными точками были выживаемость без местного рецидива и выживаемость без радикального хирургического лечения. Вторичные конечные точки включали общую выживаемость, опухолево-специфическую выживаемость, выживаемость без метастазирования, выживаемость без внутрипузырного рецидива, улучшение функции почек и нежелательные явления, связанные с терапией.

Основные выводы и ограничения

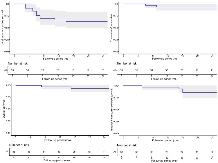
В исследование было включено 33 пациента. Медиана периода наблюдения составила 23 месяца для пациентов без летального исхода или необходимости в спасительной операции. Показатели выживаемости без местного рецидива составили 67% через 1 год и 64% через 2 года. Положительный статус HER2 был определен как потенциальный защитный фактор от местного рецидива в течение первого года (отношение шансов 0,12, 95% доверительный интервал 0,01–0,95; p = 0,042). Показатели выживаемости через 2 года составили 94% для выживаемости без прогрессирования заболевания, 88% для выживаемости без рецидива в мочевом пузыре, 100% для выживаемости без метастазирования, 94% для общей выживаемости и 100% для опухолево-специфической выживаемости. В течение первого года после абляции наблюдалось улучшение функции почек. Частота стриктур мочеточника через 1 год составила 12%, при этом не было зарегистрировано нежелательных явлений степени >3.
Оценки по Каплану-Мейеру для (A) выживаемости без местного рецидива (LRFS), (B) выживаемости без необходимости радикальной операции (CFS), (C) общей выживаемости (OS) и (D) выживаемости без рецидива в мочевом пузыре (IVRFS) для 33 участников исследования.
Интраоперационные изображения, полученные при лечении/обследовании больных уротелиальной карциномой мочеточника при проведении комбинированного лечения. (A) Вид опухоли до операции. (B) Вид области опухоли непосредственно после эндоскопической абляции с использованием системы на основе тулиевого лазера (Tm:YAG). (C, D) Картина при контрольной уретероскопии через (C) 3 месяца и (D) 6 месяцев, демонстрирующая полную ремиссию (отсутствие видимой опухоли).

Выводы и клинические последствия

Комбинация эндоскопической трансуретральной лазерной абляции с периоперационной системной терапией продемонстрировала многообещающую эффективность и приемлемый профиль безопасности у отобранных больных локализованным раком верхних мочевых путей высокого риска. Данные результаты предполагают возможность кардинального изменения подхода к лечению этой сложной группы пациентов.